Electron microscopy
 
PythonML
Value Iteration
- Python Automation and Machine Learning for ICs -
- An Online Book -
Python Automation and Machine Learning for ICs                                                           http://www.globalsino.com/ICs/        


Chapter/Index: Introduction | A | B | C | D | E | F | G | H | I | J | K | L | M | N | O | P | Q | R | S | T | U | V | W | X | Y | Z | Appendix

=================================================================================

Value iteration is a dynamic programming algorithm commonly used in reinforcement learning, a subfield of machine learning. Reinforcement learning is concerned with agents making decisions in an environment to maximize a cumulative reward signal. Value iteration is specifically employed for solving Markov decision processes (MDPs), which model decision-making problems in a stochastic and sequential setting.

In reinforcement learning and Markov decision processes, the term "value" refers to the expected cumulative reward that an agent can obtain from a given state while following a particular policy. The goal of value iteration is to iteratively update and improve the estimated values of states until they converge to the optimal values.

The value iteration process is:

  1. Initialization: Start by initializing the values of all states arbitrarily.

  2. Iteration: Repeatedly update the value estimates for each state based on the expected cumulative reward. The update is done using the Bellman equation, which relates the value of a state to the values of its neighboring states.

  3. Convergence: Continue the iteration until the values converge to a stable solution. Convergence is typically determined by a threshold or when the changes in values become negligible.

The Bellman equation for the value of a state is given by,

          Bellman equation for the value of a state ------------------- [3680a]

where:

  • is the immediate reward obtained after taking action in state .
  • is the probability of transitioning to state s' from state under action .
  • is the discount factor, which represents the importance of future rewards (a value between 0 and 1).

Value iteration is an effective algorithm for finding the optimal policy in finite MDPs. However, it may not scale well to large state spaces due to its computational complexity. In such cases, approximate methods like Q-learning or deep reinforcement learning algorithms are often used.

In some cases, hybrid approaches that combine elements of both value iteration and policy iteration (see page3678) can be effective. For example, one might use a few iterations of value iteration to quickly obtain a reasonable approximation and then switch to policy iteration for fine-tuning.

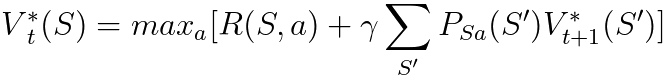
For a non-stationary Markov Decision Process (MDP), the expected cumulative reward at time t is given by,

            ------------------------- [3680b]

In this case, dynamic programming is needed for evaluating the value iteration, given by,     

            ------------------------- [3680c]

            ------------------------- [3680d]

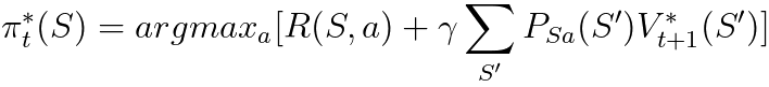
And then, finally, we have the final reward at time T (the optimal value function at the final time step T in a finite-horizon MDP), given by,  

            ------------------------- [3680d]

============================================

         
         
         
         
         
         
         
         
         
         
         
         
         
         
         
         
         
         

 

 

 

 

 



















































 

 

 

 

 

=================================================================================