Electron microscopy
 
Dependence of Crystallized Fraction on Annealing Time and Temperature
- Practical Electron Microscopy and Database -
- An Online Book -
Microanalysis | EM Book                                                                                   http://www.globalsino.com/EM/        

=================================================================================

 

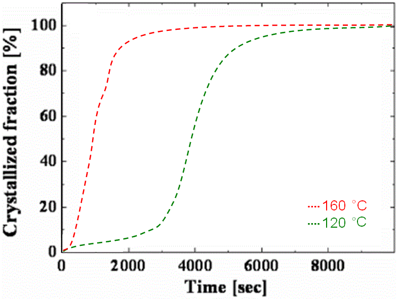
In general, the crystallized fraction of an amorphous material is a function of annealing time and temperature. For instance, Figure 1424 shows the dependence of crystallized fraction of amorphous Ge2Sb2Te5 (GST) on the annealing time and temperature.

Dependence of amorphous Ge2Sb2Te5 (GST) on the annealing time and temperature

Figure 1424. Dependence of crystallized fraction of amorphous Ge2Sb2Te5 (GST) on the annealing time and temperature.

 

 

=================================================================================