Electron microscopy
 
Structure Function and Structure Factor
- Practical Electron Microscopy and Database -
- An Online Book -
Microanalysis | EM Book                                                                                   http://www.globalsino.com/EM/        

=================================================================================

 

In neutron, X-ray and electron scattering experiments, the amplitude of the wave scattered by a specimen can be given by summing the scattering from each atom,
         Structure Function and Structure Factor ---------------------- [1421a]
         Structure Function and Structure Factor ---------------------------- [1421b]
where,
          Structure Function and Structure Factor -- The scattering vector.
         Structure Function and Structure Factor -- The position of atom i.
        Structure Function and Structure Factor -- The electron or X-ray atomic scattering factor for the ith atom.
         θ -- Half the angle between the incident and scattered wave vectors.
         λ -- The wavelength of the incident wave.

Therefore, the intensity of the scattered wave is given by multiplying the scattered wave function by its complex conjugate,
         Structure Function and Structure Factor --------------- [1421c]

Assuming a powder with spherical grains in an identical size, the diffraction intensity profile can then be obtained by integrating all directions of the interatomic separation vector,
         Structure Function and Structure Factor --------------- [1421d]
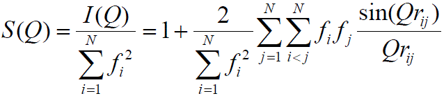
The structure function is then given by,
         Structure Function and Structure Factor --------------- [1421e]
Through mathematical simplification, we can obtain S(Q) with Fourier of g(r),
         Structure Function and Structure Factor --------------- [1421f]
where,
         g(r) -- The pair distribution function (pair correlation function).

 

 

=================================================================================