Chapter/Index: Introduction | A |
B |
C |
D |
E |
F |
G |
H |
I |
J |
K |
L |
M |
N |
O |
P |
Q |
R |
S |
T |
U |
V |
W |
X |
Y |
Z |
Appendix
Numerical Aperture
| The numerical aperture (NA) in microscopes describes the gathering power of the light (in light microscopes) or of the electron beam (in electron microscopes) and determines the diffraction limited resolving power of an optical system. It is specified in object and image space,
NAobject space = n sinθ ----------------------- [4450a]
NAimage space = n'sinθ' ----------------------- [4450b]
As shown in Figure 4450, θ is the slope angle of the ray from the object to the edge of the entrance pupil, and θ' is the slope angle of the ray from the edge of the exit pupil to the image point. It is important to match the numerical apertures of optical systems arranged in series so that the light or electron beam can efficiently transmit. In Figure 4450 (b), the second lens has a smaller NA than the first lens and thus, the illumination in the final image is reduced.

Figure 4450. (a) Numerical apertures in object and image spaces; (b) Unmatched numerical apertures cause loss in transmitted light or electron beam. That is, the NA in object space of the second lens is smaller than the NA in image space of the first lens. |
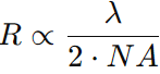
The relationship between resolution (R) and NA can be given by,
--------------------- [4450c]
where,
|